Skip to content Skip to sidebar Skip to footer

How Many Millimeters Are In A Centimeter, 6 Cm To Mm Novocom Top, Show result in exponential format.

How Many Millimeters Are In A Centimeter, 6 Cm To Mm Novocom Top, Show result in exponential format.. The symbol of centimeters is cm. Centimeter is considered a common unit of length used in si. How to convert millimeters to centimetes. 10 mm to cm = 1 cm. For example, to find out how many millimeters there are in 6.5 centimeters, multiply 6.5 by 10, that makes 65 mm in 6.5 cm.

1 centimeter is equal to 10 millimeters: To transform 1 centimeter into millimeters, you just need to multiply the quantity in centimeters by the conversion factor, 0.001. The millimetre is a unit of length in the metric system, equivalent to one thousandth of a metre (the si base unit of length). 1 mm to cm = 0.1 cm. Millimeter is abbreviated as "mm" and is a metric system length unit that equals one thousandth of a meter.

Https Encrypted Tbn0 Gstatic Com Images Q Tbn And9gcr8v5ba5i2ziljoq5jyin2crp4b3zpqbnkhnuovb5yrcglnsj9w Usqp Cau
Https Encrypted Tbn0 Gstatic Com Images Q Tbn And9gcr8v5ba5i2ziljoq5jyin2crp4b3zpqbnkhnuovb5yrcglnsj9w Usqp Cau from
It is the unit of length and distance. One decameter is equal to 10 centimeters. One meter is equal to 100 centimeters. Centimeter is considered a common unit of length used in si. 1 mm = 0.1 cm. How do you convert 1 centimeter into millimeters? 20 mm to cm = 2 cm. The symbol of centimeters is cm.

1 centimeter is equal to 10 millimeters:

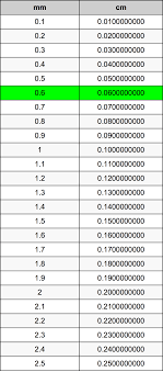
10 mm to cm = 1 cm. 1 cm = 10 mm. ›› quick conversion chart of mm to cm. Type in your own numbers in the form to convert the units! 1 mm = 0.1 cm. The millimetre is a unit of length in the metric system, equivalent to one thousandth of a metre (the si base unit of length). Centimeter is considered a common unit of length used in si. How do you convert 1 centimeter into millimeters? The symbol of centimeters is cm. One decameter is equal to 10 centimeters. 1 centimeter is equal to 10 millimeters: To transform 1 centimeter into millimeters, you just need to multiply the quantity in centimeters by the conversion factor, 0.001. 1 centimeter (cm) is equal to 10 millimeters (mm).

1 centimeter = 10 millimeters For example, to find out how many millimeters there are in 6.5 centimeters, multiply 6.5 by 10, that makes 65 mm in 6.5 cm. 10 mm to cm = 1 cm. 30 mm to cm = 3 cm See details on the formula below on this page.

Convert M Cm And Mm Worksheets And Online Exercises
Convert M Cm And Mm Worksheets And Online Exercises from files.liveworksheets.com
1 mm is equal to 0.1 centimeters: 1 metre is equal to 1000 mm, or 100 cm. 1 cm = 10 mm. 20 mm to cm = 2 cm. 1 centimeter = 10 millimeters It is the unit of length and distance. The symbol of millimeters is 'mm'. How do you convert 1 centimeter into millimeters?

›› quick conversion chart of mm to cm.

Show result in exponential format. Centimeter is considered a common unit of length used in si. The distance d in centimeters (cm) is equal to the distance d in millimeters (mm) divided by 10: The symbol of centimeters is cm. ›› quick conversion chart of mm to cm. One decameter is equal to 10 centimeters. How to convert millimeters to centimetes. Note that rounding errors may occur, so always check the results. See details on the formula below on this page. 1 centimeter (cm) = 10 millimeters (mm) 1 centimeter (cm) = 10 millimeters (mm) centimeter is abbreviated as "cm" and is a metric system length unit that equals one hundredth of a meter. 20 mm to cm = 2 cm. 30 mm to cm = 3 cm How do you convert 1 centimeter into millimeters?

Type in your own numbers in the form to convert the units! To transform 1 centimeter into millimeters, you just need to multiply the quantity in centimeters by the conversion factor, 0.001. 1 centimeter (cm) = 10 millimeters (mm) 1 centimeter (cm) = 10 millimeters (mm) centimeter is abbreviated as "cm" and is a metric system length unit that equals one hundredth of a meter. It is the unit of length and distance. One decameter is equal to 10 centimeters.

What Is 830 Millimeters In Centimeters Convert 830 Mm To Cm
What Is 830 Millimeters In Centimeters Convert 830 Mm To Cm from whatisconvert.com
1 centimeter is equal to 10 millimeters: 1 mm to cm = 0.1 cm. 20 mm to cm = 2 cm. The symbol of centimeters is cm. 30 mm to cm = 3 cm Centimeter is also the si unit in the metric system. The millimetre is a unit of length in the metric system, equivalent to one thousandth of a metre (the si base unit of length). So, 1 centimeter in millimeters = 1 times 0.001 = 10 millimeters, exactly.

30 mm to cm = 3 cm

1 centimeter (cm) is equal to 10 millimeters (mm). 1 centimeter = 10 millimeters ›› quick conversion chart of mm to cm. 1 metre is equal to 1000 mm, or 100 cm. Centimeter is considered a common unit of length used in si. 1 mm to cm = 0.1 cm. See details on the formula below on this page. D(cm) = d(mm) / 10. 1 mm is equal to 0.1 centimeters: 1 cm = 10 mm. The symbol of centimeters is cm. How to convert millimeters to centimetes. 1 cm = 10 mm.